使用fNIRS评价健康成年人在多种运动时肌肉血氧和脑皮层活动
1.背景介绍
研究表明在自主控制运动任务(voluntary control movement, i.e. HA)时对肌肉施加电刺激(Electrical stimulation ,ES),相比仅是模仿运动可以提高对肌肉的控制力。然而,在不同HA任务期间施加电刺激以及HA对脑皮质影响依旧未知。此文旨在利用fNIRS研究在HA期间施加多种电刺激对肌肉血氧的影响及血氧变化与脑皮质的关系。
2.研究方法
2.1 被试
19位年龄在23.70 ± 3.00的成年男性,没有精神、心脏、膝盖的疾病。全部被试在实验前均未进行高强度运动。
2.2 实验设定

图1. 整体布置
整体布置如图1。设备使用ISS Imagent的NIRS。肌肉血氧变换用SpO2指标评价,光源和检测器之间的距离为1.95、2.01、2.46、2.51、2.97、3.04、3.45和3.53厘米,采样频率为5Hz;脑皮质活动用HbO,HbR,HbT等指标评价,光源波长为使用690nm和830nm两种,光源数量为14个,探测器数量为4个。脑皮层电极配置如下图,分别布置在感觉运动顶叶(SMC),辅助运动区(SMA),前运动顶叶(PMC)等脑区。实验前采集180s静息态数据,每个trials包括30s休息和20s训练(isometric)。重复8次以后会有一个长时间休息。
3.实验结果
图2是时域下膝关节伸展收缩运动的氧饱和度 (SpO2) 变化。 ΔSpO2 和耗竭速率是根据等距的双曲正切方程计算的收缩阶段。垂直虚线表示分别是等长收缩的开始(30 秒)和结束(50 秒)。

图2. 时域下膝关节伸展收缩运动的氧饱和度 (SpO2) 变化
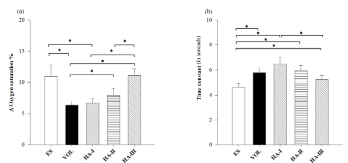
图3是长伸膝阶段五种方式的 ΔSpO2。等距膝关节伸展中五种模式的时间常数(以秒为单位)相位(较小的时间常数值表示消耗速度快)。* 表示条件之间的显着差异。
图3. 长伸膝阶段五种方式的 ΔSpO2
图3是血红蛋白皮质区域变化的浓度,即 [HbO](红线)、[HbR](蓝线)和 [HbT](绿线),在伸膝期间(黄色条)覆盖双侧 SMC、PMC、和 SMA 用于 VOL、ES、HA-I、HA-II 和 HA-III 模式。

图3. 血红蛋白皮质区域变化的浓度
4.结论
增加ES水平可以提高HA任务下肌肉耗氧需求。ES刺激可以产生与肌肉收缩(VOL)类似的脑皮层活动,但是强度要弱于自主肌肉运动。HA期间脑皮层活动水平还取决于皮层位置的功能特异性(functional specificity)。但是低强度HA不能增加肌肉氧需求。
5.文献名称及DOI号
Assessments of Muscle Oxygenation and Cortical Activity Using Functional Near-infrared Spectroscopy in Healthy Adults During Hybrid Activation. Tai-You Lin et al. IEEE Transactions.
DOI:10.1109/TNSRE.2015.2429655.



