探索和优化正极性的经颅直流电刺激老年人初级运动皮层的神经可塑性效应
1. 研究背景
tDCS调节皮质可塑性,并显示出改善健康年轻人的认知/运动功能的潜力。然而,与年龄相关的大脑结构和功能的改变可能需要tDCS参数的调整,以实现老年人的靶向可塑性效应,从年轻人获得的结论可能不能直接转移到老年人。因此,我们的研究旨在系统地探讨tDCS参数和诱发的后效对运动皮层兴奋性的影响,以确定老年人的最佳刺激方案,并探讨两种不同年龄组老年人运动皮层可塑性的年龄相关性差异。
2. 研究方法
2.1 被试
选取32名健康、不吸烟的参与者,并分为两个年龄组:16名Young-Old组参与者(8名女性,平均年龄59.13岁,SD = 4.47岁)和16名Old-Old组参与者(8名女性,平均年龄73.13岁,SD = 5.04岁)。所有被试都是右利手,无精神、神经类疾病,并且没有无创脑电和磁刺激的经历。采用MMSE测试对认知状态进行临床评价,24名参与者接受了结构MRI检查,且未发现异常。有8名参与者拒绝接受结构MRI检查。
表1. 参与者的人口学特征

2.2 实验过程
经颅直流电刺激触及运动皮层
tDCS通过一对盐水浸泡的表面海绵电极(5× 7cm),并由一个恒流电池供电的刺激器提供,最大输出为4mA (neuroConn, Ilmenau, Germany)。经颅磁刺激(TMS)识别,目标电极以45°从中线固定在右侧小指外展肌(ADM)的代表区域上,返回电极对侧放置在右侧眶上区域上。基于实验条件,所有参与者接受正极性的tDCS,强度为1、2或3 mA,持续时间为15、20或30分钟(刺激开始和结束时有10秒的上升和下降)。对于假刺激条件,1 mA刺激15 s,以10 s的升降时间,然后保持0 mA刺激15 分钟。头皮上电极边缘之间的距离至少为6 cm。在电极下进行tDCS之前,在头皮上涂抹表面麻醉乳膏,以减少刺激的不适感觉,并确保参与者对实验目的的未知。
2.3 数据采集和处理
经颅磁刺激术测量运动皮层兴奋性
单脉冲TMS以0.25Hz作用于左初级皮层,有PowerMag 磁刺激器(Mag&More, Munich, Germany)的“8”字性磁线圈(一个线圈直径70mm, 峰值磁场,2T)。线圈以前后方向固定,距正中矢状面45°,与颅骨切线,手柄指向后。采用腹腱蒙太奇金杯电极记录右侧ADM肌表肌电。模拟肌电信号在5 kHz采样,使用微型1401 AD转换器(Cambridge Electronic Design, Cambridge, UK),在3Hz-3kHz放大(1000)和带通滤波,使用D440-2 (Digitimer, Welwyn Garden City, UK)。用Signal软件(Cambridge Electronic Design, version 4.0)记录和分析肌电测量数据,并离线存储以供进一步分析。
实验程序
本研究采用随机、交叉和单盲设计。要求参与者在有头和扶手的躺椅上以一种放松的姿势坐着。采用单脉冲经颅磁刺激(TMS)在左侧运动皮层识别右侧ADM的表征区,中等强度经颅磁刺激在该区域诱发最大且稳定的MEP振幅。这个热点是用防水笔标记的,允许线圈在整个实验中固定定位。基线TMS强度(最大刺激器输出百分比,%MSO)被确定为平均MEP振幅约为1mV的峰-峰振幅(SI1mV),并在整个治疗过程中保持恒定。记录30个MEP作为基线测定。之后,采用三种强度(1、2和3 mA)和持续时间(15、20和30 min)组合之一的正极性tDCS,包括假tDCS。tDCS后,每5分钟用SI1mV注射半小时获得30 MEP,刺激后每30分钟至2小时,并在当天晚上(same day evening, SE)和第二天早上(next day morning, NM)进行两次额外测量。所有参与者随机参加10个单独的实验,包括假条件,每个实验之间至少间隔7天,以避免遗留效应(图1)。Young-Old组的8名参与者没有完成最后两个测量(即,SE和NM测量),因为他们的工作计划而未能完成。

图1. 实验过程
图解:32名参与者被随机分成10组。在每个疗程中,首先对左侧M1进行单脉冲TMS,以确定右侧ADM的代表性区域,在该区域,给定的TMS强度诱发最大的MEP振幅。测定基线TMS强度,诱发MEP波幅约为1mV (SI1mV)。记录30 MEPs作为基线测定。然后,在三种强度(1、2 & 3 mA)和持续时间(15, 20 & 30 min)组合,包括假tDCS。每5分钟监测一次后遗症,持续至30分钟,并在随后的60分钟、90分钟、120分钟、当天晚上(SE)和第二天早上(NM)进行监测。
3. 实验结果
表2. 基线MEP测量和TMS刺激强度(S1 1mA)
表2解释:表中每个实验条件的SI1mV和基线MEPs,作为Young-Old和Old-Old组的平均±SD。SI1mV是指诱发约1mv峰间平均MEP振幅所需的TMS强度(最大刺激器输出百分比,%MSO)。基线MEP是指30个基线MEP记录的平均振幅。方差分析结果显示,SI1mV和基线MEP在不同阶段和年龄组之间没有显著差异。
表3. 方差分析结果

表3解释:4因素方差分析,进行探索tDCS强度的特定效应,MEP振幅振幅的持续时间,表现出显著的持续时间的主要影响,epoch和trend-wise效应强度,以及强度的一个重要交互时间,但年龄没有显著的影响,以及其它的无交互作用。采用3因素方差分析探讨不同tDCS条件对MEP振幅的影响,结果显示tDCS条件和Epoch主效应显著,条件和Epoch交互作用显著,但年龄组和其他交互作用不显著。对所有方差分析进行了Mauchly球度检验,并进行了Greenhouse-Geisser校正。“*”表示显著的结果,d.f.=自由度。

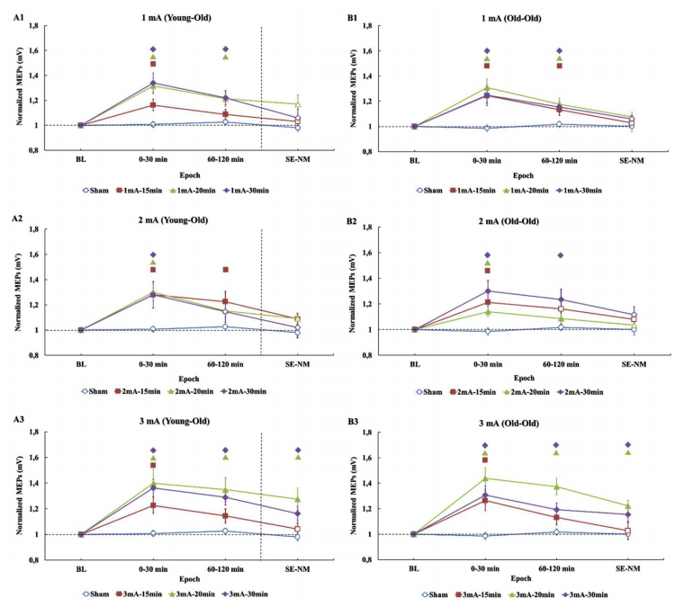
图2. 在Young-Old (A)和Old-Old (B)组中,正极性tDCS对运动皮层兴奋性的早期、晚期和极晚期影响(合并MEP振幅)
图2解释:总平均MEP被分成三个时间段:早(0-30分钟)、晚(60-120分钟)和极晚(同一天晚上[SE] -次日早晨[NM])。误差棒表示平均标准误差。填充符号表明皮质兴奋性与各自的基线值有显著差异(配对t检验,双尾检测,p<0.05)。“*”表示真实刺激与虚假刺激之间存在显著差异(配对t检验,双尾检验,p<0.05),由于Young-Old组的8名参与者没有完成这些测量,因此非常晚的后遗症不包括在各自的方差分析中(如虚线所示)。对各自基线值和假tDCS的事后比较表明,所有真正的阳极tDCS条件在刺激后的前30分钟(早期)均诱导了显著的皮质兴奋性增强。假tDCS没有改变皮质兴奋性。与他们各自的基线和假tDCS相比,仅在3 mA-20 min和3 mA- 30 min条件下,两组的极晚期(SE-NM)刺激后运动皮层兴奋性显著增强。事后比较显示(Student’s Unpaired t检验,双尾检测,p<0.05)各刺激条件和汇集时间点组间差异均无统计学显著差异。
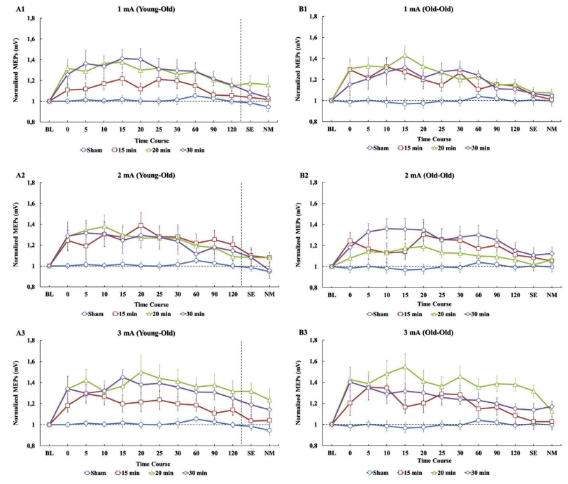
图3. Young-Old组(A1-3)和Old-Old组(B1-3)的运动皮层兴奋性改变
图3解释:时间序列图显示了刺激后标准化MEPs,在tDCS后立即测量,每隔5分钟至干预后30分钟,然后每半小时至120分钟Young-Old (A)和Old-Old (B)组的同日晚(SE)和次日早晨(NM)。图3根据刺激强度分组:1 mA (A1, B1), 2 mA (A2, B2)和3 mA (A3, B3),每个刺激强度持续时间为15、20和30分钟,假tDCS。误差棒表示平均标准误差。Young-Old组的8名参与者没有完成SE和NM测量(用虚线表示)。
表4. 被试感知的tDCS和真实的tDCS强度

表4解释:在每个阶段,要求参与者在每个阶段结束时猜测施加的直流电的强度(0,1,2,3 mA)。表4对比了应用强度和感知强度(列)。卡方检验无显著差异 (
= 14.895, P = 0.094),说明盲测法有效。
表5. 参与者评价副作用的存在和强度

表5解释:在10种不同的刺激条件下,包括刺激时的视觉现象、瘙痒、刺痛、灼烧和疼痛,以及刺激后24小时内的皮肤发红、头痛、疲劳、注意力不集中、紧张和睡眠问题,显示出来参与者的副作用评级。对副作用的存在和强度进行了从0到5的数字评分,0代表没有,5代表非常强烈的感觉。数据以平均±SD表示。
4. 结论
本研究中扩大了阳极tDCS的参数空间,包括电流强度和刺激时间(高达3 mA和30分钟),同时研究了两个不同年龄组健康老年人运动皮层中正极性tDCS诱导的神经可塑性的年龄相关性差异。
①在两个年龄组中,所有主动刺激条件都导致了运动皮层兴奋性的显著增强。
②在该研究样本中,正极性tDCS的促进效应在年龄组之间没有显著差异,因此,对阳极tDCS的响应性不受年龄的影响。
③观察到两种最高强度的刺激方案(即3 mA-20 min, 3 mA-30 min)的后期可塑性延长。
研究结果强调了刺激剂量在健康老年人运动皮层tDCS诱导的神经可塑性后遗症中的作用,并提供了相关信息,以确定最优的刺激方案,潜在地适合恢复正常衰老中的功能衰退和损害。然而,这些结果从运动区域转移到其他皮层区域并不是理所当然的,进一步的系统性探索对于评估正极性tDCS在其它衰老研究领域的有效性将是重要的。研究tDCS在衰老大脑中的作用对未来的临床应用也具有潜在的重要性,包括脑损伤患者和神经退行性疾病患者(如阿尔茨海默病),而且这些疾病通常发生在老年期。
5. 文献名称及DOI号
Farnad, L. , Ghasemian-Shirvan, E. , Mosayebi-Samani, M. , Kuo, M. F. , & Nitsche, M. A. . (2021). Exploring and optimizing the neuroplastic effects of anodal transcranial direct current stimulation over the primary motor cortex of older humans. Brain Stimulation(2).
DOI:10.1016/j.brs.2021.03.013



