高频前额叶经颅磁刺激对精神分裂症患者心率和血压的影响
1. 研究背景
重复性经颅磁刺激(rTMS)是一种安全的无创神经调节技术,用于治疗各种神经精神病学的疾病。rTMS应用于皮层对自主功能的影响尚未在患者中进行详细研究,但接受rTMS的患者可能存在自主神经系统与疾病相关的损伤,并有可能接受会出现自主神经功能障碍的药物治疗。
关于rTMS对患者自主神经功能的潜在有益或有害影响这方面的知识既有治疗意义,又有安全意义。因此,我们对2015年采集的精神分裂症阴性症状治疗(RESIS)试次的数据进行了二次分析,这是迄今为止规模最大的治疗精神分裂症阴性症状的经颅磁刺激试验。
2. 研究方法
2.1被试
2015年发表的研究结果对197例精神分裂症和显性阴性综合征患者进行了筛查,175例患者被纳入并随机分配到主动或假性rTMS,157例患者在干预前接受了主动(76例)或假(81例)rTMS治疗,并至少进行了一次PANSS评估。
2.2 研究流程
在二次分析中,我们评估了以下作为自主神经功能代理的参数:
(1)斜卧姿势下的血压(舒张压和收缩压)(BPrec)
(2)站立姿势下的血压(舒张压和收缩压)(BPsta)
(3)斜躺姿势下的心率(HRrec)
(4)站立姿势下的心率(HRsta)
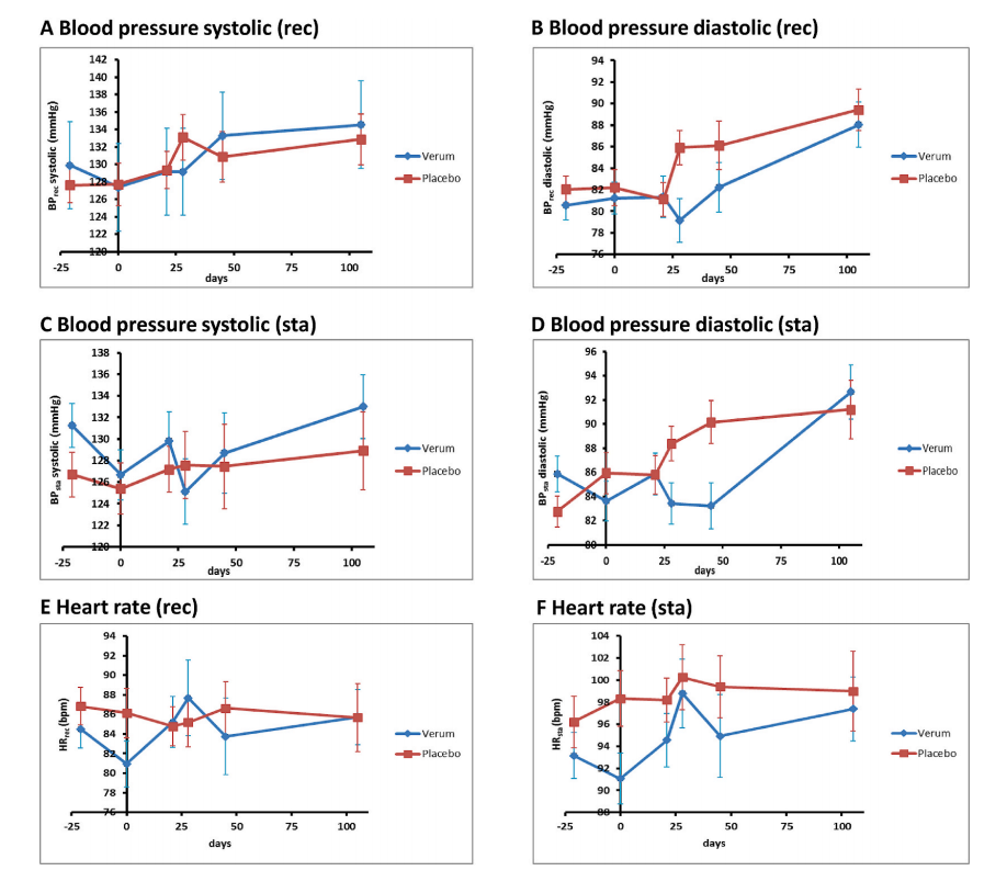
根据临床试验方案,站立1min后开始采集站立姿势的测量数据。此外,我们还分析了这两种姿势是否符合心动过速的标准(是/否;定义为心率大于每分钟100下)。我们在6个时间点评估了这些参数:筛查时、治疗0(干预前)、治疗21(干预后直接评估)、FU28(第28天)、FU45(第45天)和FU105(第105天),在干预阶段没有与rTMS疗程相关的明确时间。
3. 研究结果
157例患者接受了主动(76例)或假性(81例)rTMS治疗。除性别外,组间差异不显著。在干预过程中,线性混合模型(LMM)分析显示,时间与组间的交互作用以及任何变量的时间效应均没有显著差异(所有p值大于0.055)。在整个试验中,除了舒张压(p=0.017)外,其他变量(所有p值大于0.140)没有发现显著的时间与组间的交互作用。

图1. 六个变量通过线性混合模型进行分析的数据,包括俯卧位(rec)和站立位(sta)时血压(BP)的收缩压、舒张压(mmHg)以及心率(HR)(bpm),蓝色折线代表真实的刺激,红色的折线代表假性刺激,这六个指标在105天时间的变化如上图所示。
4. 结论
与假性rTMS相比,无论是在干预期间还是在随访期间,主动rTMS对心率或血压均没有显著影响。
5. 文献名称及DOI号
Campana, M. , Wagner, E. , Wobrock, T. , Langguth, B. , & Hasan, A. . (2021). Effects of high-frequency prefrontal rtms on heart frequency rates and blood pressure in schizophrenia. Journal of Psychiatric Research, 140(2).
Doi: 10.1016/j.jpsychires.2021.06.010



