如何破解夜间小憩后的“清醒难题”?——北京航空航天大学团队揭示夜间小憩后睡眠惯性的性别差异及行为干预效果
你是否曾在深夜小憩后猛然惊醒,却感觉头脑如坠雾中、反应迟钝?这种从睡眠中刚醒来时的短暂“失能”状态,被称为睡眠惯性(Sleep Inertia, SI),它不仅导致警觉性骤降、认知功能受抑,还可能在关键时刻危及安全——尤其对消防员、医护人员或轮班驾驶员等需立即投入高负荷任务的人群而言,风险尤为突出。尽管人们常通过咖啡因或冷水洗脸等方式试图“清醒”,但这些方法要么起效缓慢,要么缺乏科学验证,且难以在真实工作场景中即时应用。
现有研究多聚焦于整夜睡眠后的觉醒过程,或在严重睡眠剥夺条件下考察SI,却忽视了更贴近现实的夜间短时小憩情境。更重要的是,关于如何快速缓解SI的有效对策,尤其是无需药物、操作简便、可立即实施的行为干预,仍缺乏系统性证据。而脑电图(EEG)技术为揭示SI的神经机制提供了关键窗口:前额α/β波功率的显著下降已被证实与皮层激活不足密切相关,是SI的核心生理标志之一。
北京航空航天大学团队在Ergonomics发表题为“Awakening from a nighttime nap: physiological and cognitive effects of sleep inertia and behavioral countermeasures”的研究,首次在模拟轮班工作的夜间小憩场景中,结合主观量表、认知任务与高时间分辨率EEG,全面刻画了睡眠惯性的多维影响,并创新性地评估了两种生态效度高的即时行为对策。
本研究招募12名健康研究生(男女各6人,年龄23–27岁),均无睡眠或神经精神疾病史。采用被试内设计,每位被试在三个凌晨时段分别接受三种觉醒后干预:静坐(对照)、10分钟言语交流、或观看10分钟高清美食视频。每次实验前进行1小时夜间小憩(1:00–2:00),醒后立即开始40分钟评估。
图1 受SI影响期间生理和认知测量的实验过程
实验材料包括Karolinska困倦量表(KSS)、1-back工作记忆任务和Baddeley逻辑推理任务。生理数据通过ANT Neuro mylab系列64导联脑电系统采集,采样率1024 Hz,重点分析前额区(Fp1/Fp2) α/β波相对功率。
图2 实验设备
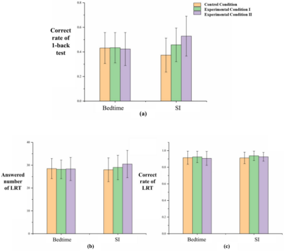
研究首先确认了夜间小憩后存在显著的睡眠惯性(SI)效应。与睡前基线相比,被试在醒后即刻表现出明显的生理与主观变化:前额EEG α/β波相对功率下降72.1%,表明皮层激活水平显著抑制;同时脉搏率上升8.1%、收缩压升高2.5%,反映自主神经系统快速唤醒。尽管客观认知任务成绩未出现整体显著下降,但主观困倦感(KSS评分)持续维持在较高水平(均值≈7),表明个体强烈感知到“头脑不清醒”。
图3 睡眠惯性(SI)影响期间整体水平上的主观困倦感与生理特征
两种行为干预均有效缓解SI,但效果模式不同。与对照条件相比,观看视频显著降低主观困倦感并提升1-back工作记忆正确率;言语交流同样改善工作记忆并加速心率恢复。值得注意的是,两种干预对EEG指标的影响在时间上存在差异:言语交流在20分钟时使α/β功率回升50.0%,而视频组回升19.2%,提示其神经激活路径可能不同。
图4 睡眠惯性(SI)影响期间整体水平上的认知表现
最突出的发现是显著的性别差异。女性在SI期间主观更困倦,且EEG功率下降幅度大于男性。干预效果呈现性别特异性:言语交流显著提升男性的EEG活动和工作记忆,但对女性无益甚至略有负面影响;而观看视频则显著改善女性的工作记忆和困倦感,对男性效果较弱。逻辑推理任务也显示性别分化——男性在SI中答题数量增加,女性则减少。这些结果表明,对抗睡眠惯性的有效策略需考虑性别因素。
图5 睡眠惯性(SI)影响期间主观困倦感的性别差异
醒来的那一刻,大脑未必“在线”——这项研究发现,从夜间小憩中被叫醒后,人其实处于一种“身体醒了,脑子还在睡”的状态。更有趣的是,让男性快速清醒的聊天,对女性可能没用;而一段轻松的视频,反而成了女性的“提神利器”。原来,对抗睡眠惯性,不只看时间,还得看性别。
引用:Zhang, Q., Ding, L., Wen, Y., Chen, W., Zhang, F., Yao, F., ... & Nie, J. (2025). Awakening from a nighttime nap: physiological and cognitive effects of sleep inertia and behavioral countermeasures. Ergonomics, 1-16.
DOI: 10.1080/00140139.2025.2588169



