面孔加工事件相关电位的高精度复现及其个体差异研究
1.研究背景
面孔加工是人类社会认知中的核心能力,其个体差异在现实情境中具有重要意义。事件相关电位(ERP)研究已揭示多个与面孔加工相关的经典成分,如反映早期视觉加工的P100、反映面孔结构加工的N170,以及与身份表征相关的N250等。然而,尽管这些成分在群体水平上具有良好的可重复性,其在个体差异层面的功能意义仍缺乏系统证据。已有研究多聚焦于验证ERP效应是否存在,而较少检验这些神经指标能否稳定预测个体在面孔识别能力上的差异。同时,受限于样本量和试次数,既往研究中ERP指标的估计精度有限,也限制了对脑—行为关系的解释。此外,部分研究将早期ERP成分直接视为面孔特异性加工指标,但缺乏与非面孔视觉加工过程的对照,因而难以明确其加工属性。
本研究采用高精度(high-precision)研究思路,通过较大的样本量和较高的试次数,提高ERP指标估计的稳定性,并系统考察不同加工阶段的神经指标在个体差异中的作用。研究同时引入早期视觉加工指标(如P100对比效应)、面孔结构加工指标(如N170及其倒置效应)以及身份表征相关指标(如重复效应),并将其与标准化面孔测验(GFMT2与CFMT+)相结合,从而明确面孔识别能力究竟主要源于面孔特异性加工,还是在更早期的视觉加工阶段已经形成。
2.研究方法
本研究共招募86名大学生参与实验,剔除未完成者后最终样本为84人(女性68人,男性16人),平均年龄约20.7岁。行为测验用于评估面孔加工相关能力,包括名人脸启动任务(face priming)、建筑启动任务(building priming)、格拉斯哥面孔匹配测验第二版(GFMT2)、剑桥面孔记忆测验增强版(CFMT+)以及剑桥汽车记忆测验(CCMT),分别用于测量熟人脸加工速度、非面孔启动效应、陌生人脸匹配能力、面孔记忆能力及非面孔类别学习能力。
基于面孔加工由低到高的阶段性特征,脑电实验包含三类任务,分别对应早期视觉加工、面孔结构加工以及面孔身份表征三个阶段。通过该多层级设计,研究旨在明确不同加工阶段的神经指标在面孔识别个体差异中的作用。为评估个体在早期视觉加工阶段的差异,实验采用高、低对比度棋盘格刺激诱发P100成分。该任务不涉及面孔刺激,主要用于测量个体对基本视觉特征(如亮度与对比度)的加工效率。
图1 高、低对比度棋盘格
在面孔加工任务中,呈现正立与倒置的面孔刺激,并以手表图片作为非面孔对照。通过操纵刺激类别(面孔/非面孔)与朝向(正立/倒置),以获取经典的N170面孔选择性效应及倒置效应。为避免任务需求对面孔加工过程的干扰,实验采用蝴蝶oddball任务:被试仅需对偶尔出现的蝴蝶刺激作出按键反应,而无需对面孔作出任何判断。为进一步考察与面孔身份识别相关的神经加工过程,实验采用名人脸图像无关重复范式(image-independent repetition paradigm)。在该任务中,prime与target要么为同一名人的不同照片,要么为不同人物的照片,从而在排除低级视觉特征重复的前提下考察身份层级加工。
图2 人脸图像无关重复范式示例
脑电数据使用ANT Neuro 64导脑电采集系统进行记录,采样率为1024 Hz,在线参考电极设为CPz。实验在安静、弱光环境中进行,被试与显示器保持约70 cm距离。
图3 ANT Neuro eegoTM mylab
3. 实验结果
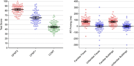
行为结果显示,GFMT2与CFMT+得分呈显著正相关,表明面孔匹配能力与面孔记忆能力在一定程度上共享加工机制。启动效应分析进一步发现,熟人脸和熟悉建筑均产生显著的反应时促进效应,而不熟悉刺激未表现出该效应,说明启动效应依赖于既有表征的激活。
图4 GFMT2、CFMT+与CCMT的平均成绩及个体分布(左),以及反应时启动效应(非重复−重复)的平均值(右)
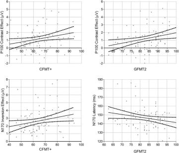
在脑电结果方面,研究成功复现了多个经典ERP效应。高对比棋盘格相较低对比条件诱发显著的P100增强;面孔刺激相较非面孔刺激诱发更大的N170;倒置面孔引起典型的N170潜伏期延迟。这些结果在较大样本和高试次数条件下表现出良好的稳定性。进一步的脑—行为关联分析显示,P100对比效应与GFMT2及CFMT+成绩均呈显著正相关,表明早期视觉加工能力本身即可预测个体在面孔识别任务中的表现。
在面孔特异加工层面,N170潜伏期与面孔匹配能力呈负相关,潜伏期越短,识别表现越好;同时,N170倒置效应与面孔记忆能力显著相关,反映面孔结构加工效率在个体差异中的重要作用。相比之下,与身份表征相关的重复效应(如N250r及更晚时窗成分)虽然在群体水平上稳定存在,但并未与任何行为指标形成显著关联。
图5 P100对比效应(高对比−低对比)及N170倒置效应与潜伏期与面孔加工测验(CFMT+、GFMT2)之间的相关关系
4. 结论
本研究在高样本量和高试次数条件下,对面孔加工相关ERP指标进行了系统检验。研究结果表明,面孔识别能力并非单一神经机制的产物,而是由多个加工阶段共同决定:早期视觉加工能力为面孔识别提供基础,而面孔结构加工阶段进一步影响个体在面孔匹配与记忆任务中的表现。相比之下,与身份重复表征相关的晚期ERP成分虽然稳定存在,但不足以解释一般人群中的能力差异。总体而言,本研究不仅在方法上验证了高精度ERP研究在个体差异领域的可行性,也在理论上支持了“面孔加工能力源于多阶段协同作用”的观点,为后续从神经机制层面理解面孔识别能力提供了更为清晰的证据基础。
5.文献名称及DOI号
Ciocan, M., Gandlin, L., Bojdo, M. M., Lidborg, L. H., & Wiese, H. (2026). Event‐Related Brain Potential Correlates of Face Processing: A High‐Precision Replication and Individual Differences Study. Psychophysiology, 63(1), e70242.
DOI://doi.org/10.1111/psyp.70242



